サイエンスパーク
【フロントランナー】最先端を走る日本の音声翻訳技術。「言葉の壁」を取り払い世界を変える
2025/10/1
ワオ未来塾
とは?
学べる科目
入会ガイド
ワオの
事業紹介
サイエンスパーク
【フロントランナー】なぜ人は眠るのか、夢はなぜ見るのか。謎だらけの睡眠の正体に最新科学で迫る
2025/10/1
この記事は、「WAOサイエンスパーク」で2013/1/17に公開された記事です。
金沢大学医薬保健学域医学類 教授 桜井 武
1964年生まれ。筑波大学医学専門学群卒、同大学院医学研究科修了。筑波大学基礎医学研究系講師・准教授、テキサス大研究員、筑波大学大学院人間総合科学研究科准教授などを経て、金沢大学医薬保健学総合研究科教授に。98年、覚醒を制御する神経伝達物質「オレキシン」を発見。睡眠研究の第一人者として知られる。著書に『睡眠の科学』『食欲の科学』(以上、講談社ブルーバックス)『〈眠り〉をめぐるミステリー』(NHK出版新書)。
なぜ、私たちは眠るのか? 夢にはどんな意味があるのか? 一生の3分の1もの時間を費やすのに、睡眠に関してはわからないことばかりだ。科学的な研究が始まって80年以上経ったいまでも謎だらけだ、という。どこまでわかって、何が謎のままなのか・・・・・・。睡眠と密接に関係している神経伝達物質「オレキシン」を発見し、“睡眠学”をリードする金沢大学の桜井武先生に「眠り」にまつわるさまざまな疑問に答えてもらった。
まずは、「眠り」に関して、みなさんが気になっている事柄についてお答えしていくことにしましょう。
Q1 眠らないとどうなるのですか?
人間はずっと眠らずにいることはできません。いつか必ず寝てしまいます。研究者が調査したものでは264時間が世界記録。ギネスブックには266時間という数字が出ています。しかし、動物実験では眠らせずにいると、2週間後に感染症などにかかって死んでしまいました。264時間寝なかった人も途中で体調不良を訴え、妄想を見るようになり言語障害も起しています。明らかに身体に変調を来たしたのです。「致死性家族性不眠症」という眠れない病気があります。その患者さんは想像を絶する苦しみの中で死を迎えます。
Q2 何のために人間は眠るのですか?
眠るのは人間だけではありません。哺乳類は例外なく睡眠をとります。渡り鳥も飛びながら寝ているし、イルカのなかには左半球と右半球が交互に眠る種類もあります。眠っているとき、動物は無防備で危険な状態です。であるならば、眠らないよう進化すればいいのに、そうならなかったのは睡眠が必要だからでしょう。なぜ必要なのか? このことは十分に解明されたとはいえません。ただ「睡眠」と「記憶」、そして私たちが見る「夢」と「感情」に密接な関係があることはわかっています。感情というのは「好き」「嫌い」。好きの代表は食べ物が目の前にあるとき、嫌いは敵に襲われそうになったとき。どちらも動物はすぐに記憶が蘇り、素早く行動しないといけませんよね。それができるよう準備作業を睡眠で行っている。睡眠は「生きる抜くために必要な情報整理」と考えられています。
Q3 記憶と関係しているなら、受験生もしっかり寝たほうがいい?
結論から言うと「YES」です。記憶には「単語を覚える」などだけでなく、運動がうまくなるなどの「手続き記憶」や感情の記憶も含まれます。メカニズムはまだわかっていませんが、眠ることで神経細胞(=ニューロン)同士がつながった部分(=シナプス)に変化が起こることがわかっています。シナプスは記憶と脳機能に関係しています。つまり睡眠はシナプス機能、ひいては記憶に関わっているのです。脳が情報処理できる能力は無限ではありません。取捨選択しないとパンクしてしまうし、重要な情報も取り出しにくくなってしまいます。先ほど言ったように、その取捨選択を睡眠中に行っている。さらに、寝ている間にニューロン同士をつなぎなおして、必要な記憶を素早く取り出せるようにしている、と考えられています。簡単に言うと、配線を整理する「脳のメンテナンス」ですね。実際、睡眠によって知能テストの成績がよくなるという報告も多数なされています。
Q4 夢はなぜ見るのでしょう?
それこそ夢のない話ですが(笑)、情報処理に伴ったノイズと考えるのが適当でしょう。記憶の断片がアトランダムに現れてくる、奇想天外なストーリーが多いのも、そのためです。とにかく、その人がどんな夢を見ているかは外からわからない。実験や調査がとても難しいから、詳しいことはわからないんですね。ただ、不安だとかうれしいとか、感情にかかわるもの、とくに怖い夢を見るケースが多いことは確かです。ちなみに寝ている間、ずっと見ているわけではなく、後ほどお話するレム睡眠のとき主に夢を見ています。

98年、桜井先生たちが精製に成功した「オレキシン」は、睡眠研究における大発見だった。私たちが起きているとき、オレキシンは働いている。これが弱くなったとき、私たちは眠くなる、という。しかし、当初は睡眠に関係するものとは考えられてはいなかった。オレキシンという名称は、ギリシャ語の「食欲」に由来し、食欲に関わるものと考えられていた。
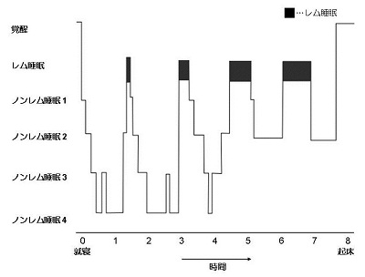
私たちは単純に、「寝ている」「起きている」といいますが、脳の活動という点から見ると、寝ている状態はさらに「レム睡眠」と「ノンレム睡眠」の2つに分けられます。つまりに、脳の活動には覚醒(=起きている状態)、レム睡眠、ノンレム睡眠の3つのモードがあって、それを順に繰り返しているのです(上図参照)。
では、レム睡眠とノンレム睡眠の違いは何か? 簡単に言うとレム睡眠は「脳は起きているが、身体は眠っている状態」、ノンレム睡眠は「脳は寝ているが、感覚器官や筋肉とはつながっている状態」です。レム睡眠のとき夢を見る。そして、眼球がさかんに動く。先ほどお話をした情報の取捨選択はレム睡眠で行われている、と考えられています。一方、ノンレム睡眠のときも夢は見るのですが、レム睡眠ほどではない。感覚器官とはつながっているので、弱い刺激でも目を覚まします。このモードで、脳内の“配線の整理”は行われています。
私と柳沢正史先生(テキサス大学教授兼筑波大学教授)の研究チームが見つけた神経伝達物質「オレキシン」は、3つのモードのうち覚醒の制御に関係しています。モードが切り替わっても、それを維持しないといけない。そのための物質です。ちなみに、神経伝達物質(「生理活性ペプチド」ともいいます)は、みなさんも聞いたことがある「アドレナリン」などもその一種で、神経細胞同士で情報を伝えあう化学物質のことをいいます。
そもそもオレキシンは食欲と関係すると考えていました。ところが、「ナルコレプシー」という突然、強烈な睡魔に襲われ、気絶するように眠るという病気が、オレキシンの欠損によって引き起こされることが、私たちの発見から1年後にわかったんです。オレキシンが働かないと人は起きてはいられない! 別々の研究者が、まったく違うアプローチで進めていた研究が密接にからみあっていた――科学の歴史では、こうした偶然のいたずらのような出来事が時々起こるんですね。
さて、オレキシンが覚醒を維持しているのであれば、逆に言うとオレキシンが多いと眠れない、となります。オレキシンが働くのを阻害すれば、人は眠ることができる、というわけです。そこで、オレキシンの働きを抑える薬の開発が世界中で進められました。アメリカでは臨床研究・治験段階がすでに終わっているので、2014年くらいには新薬が発売されるでしょう。いま日本では5人に1人くらいの割合で睡眠障害を訴えている人がいますから、その人たちにとっては朗報といって間違いありません。

桜井先生は現在、睡眠と覚醒メカニズムの全貌解明に取り組んでいる。また、オレキシンとは別の新しい神経伝達物質を見つけることも研究テーマにしている。それらの機能を詳しく調べることで、これまでに知られていなかった新しい脳の機能を解明していく。睡眠や摂食行動、注意、人間の感情(=情動)などなど・・・・・・「脳は実に謎に満ちていて興味が尽きない」と桜井先生は語る。
私自身は医者の家系で、自然な流れで医学部に進学しました。そして、研究者として神経伝達物質をテーマにし、オレキシンを発見。それが、睡眠に深く関わっていることがわかって、そちらに研究をシフトさせていきました。流れに任せた人生といえばいいのでしょうか(笑)。でも、睡眠は研究すればするほど奥が深い。研究者の興味をひく要素にあふれており、研究のしがいがあります。この記事を読んでいる中学生や高校生にも、睡眠に興味をもってもらい、研究の道に進んでくれたらうれしいですね。
最後に、理想の睡眠についてアドバイスしましょう。まず、しっかり眠ることが記憶にもよいのは最初のほうでお話したとおりです。とはいっても、「寝なくてはいけない!」などと眠りに意識が行き過ぎるのはよくありません。それがストレスとなって逆に睡眠を妨げてしまうからです。規則正しい生活を心がけ、眠くなったら寝るようにするのが一番。通常は7~8時間程度といわれていますが、とくに何時間寝なくてはいけない、といったこともありません。
それと、眠る前にはあまり食事を取らないようにしましょう。「えっ、お腹が一杯になると眠たくなるんじゃないですか?」という声が聞こえてきそうですが、お昼ご飯を食べたあと眠たくなるのは、体内時計の覚醒シグナルが一時的に低下するのが原因です。それが証拠に、晩御飯のあとは眠くならないでしょ? ここでは詳しく書けませんが、私たちは身体のリズムを24時間周期で制御する遺伝子を持っています。それが体内時計。体内時計も、睡眠のメカニズムに関係しているわけです。毎日夜遅くに食事を取っていると、その時間帯の脳の覚醒レベルが高まるので注意が必要です。さらに、部屋を明るくしないこと、また寝る前に携帯電話の画面をあまり見ないこと。携帯電話の画面は青い光を発しており、それは体内時計に影響を与えていることも実験で確かめられています。
以上に注意して、健康的な睡眠を心がけてください。
《文=WAOサイエンスパーク編集長 松本正行》

ワオ未来塾の「科学リテラシー」は、このような疑問とともに視野を広げ、理知的に考える力を育みます。
日常的なふとした疑問を科学的視点から考え、議論を重ねることで「科学リテラシー」を身に着けましょう。
小学生・中学生・高校生 対象
新しい学びを1カ月無料で体験!
〈会員専用コンテンツも配信予定〉
QRコードをスマホで読み取り、
LINEの友だち登録をお願いします。